Winkelwagen
Korting: 0.00 SEK
Korting: 0.00 SEK
Digital Skipper |2/07, 2024
De GPS Week Number Rollover vindt elke 1.024 weken plaats, wat overeenkomt met ongeveer 19,6 jaar. Wanneer de weekteller van het GPS-satellietsysteem zijn limiet van 1.023 bereikt, treedt een integer-overflow op en wordt de waarde gereset naar nul. De laatste keer dat dit gebeurde was op 6 april 2019.
Alle GPS-ontvangers gebruiken deze weekteller om de huidige UTC-datum te berekenen. Daarom bepaalt de lancerings- of fabricagedatum van de GPS-chipset wanneer uw GPS wordt gereset. De formule is eenvoudig:
Lanceringsdatum + 19,7 jaar = resetdatum
Voorbeeld: Een GPS-apparaat dat in 2003 is geproduceerd, wordt in 2023 gereset. Dit betekent dat uw systeem in 2023 de datum als 2003 kan gaan weergeven, wat functies zoals getijden en stromingen beïnvloedt.
Raymarine meldt dat geen van de huidige producten met GPS-ontvangers wordt beïnvloed door de reset. Dit omvat:
Ook oudere producten zoals a/c/e/eS/gS MFD's, RS130 en RAY52-70 worden niet beïnvloed.
Sommige oudere producten kunnen nu of in de toekomst datumgerelateerde prestatieproblemen hebben. Hoewel de GPS-ontvanger nog steeds een nauwkeurige positie en SOG/COG kan leveren, kan de datum onjuist zijn. Dit beïnvloedt functies zoals getijdenberekeningen.
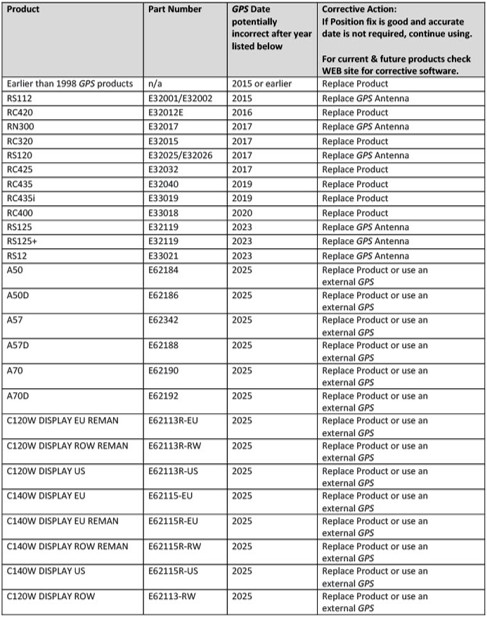
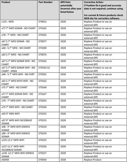
Zie de onderstaande afbeeldingen voor gedetailleerde informatie over de GPS Week Number Rollover en getroffen producten:





Tip: Controleer altijd de compatibiliteit en update oudere GPS-apparaten om problemen met datum- en navigatiefuncties te voorkomen.